| Today's topic is Features extraction - Corners and blobs.
| Key points
- feature extraction
- local feature
- Harris corner detection
Motivation: Automatic panoramas
The human visual system has a field of view of around 135 x 200 degrees, but a typical camera has a field of view of only 35 x 50 degrees. Panoramic image mosaicing works by taking lots of pictures from an ordinary camera, and stitching them together to form a composite image with a much larger field of view.
reference: AutoStitch

Process



Why extract features?
- Motivation: panorama stitching
- We have two images how do we combine them?

- Step 1: extract features
- Step 2: match features

- Step 1: extract features
- Step 2: match features
- Step 3: align images

Application: Visual SLAM
Simultaneous Localization and Mapping

Image matching


Harder case

Maybe it's because these two photos are from different angles.
Harder still?


Answer below (look for tiny colored squares…)


NASA Mars Rover images with SIFT feature matches.
Feature matching for object search

Feature matching

Invariant local features
- Find features that are invariant to transformations
- geometric invariance: translation, rotation, scale
- photometric invariance: brightness, exposure, …

Advantages of local features
Locality
- features are local, so robust to occlusion and clutter
Quantity
- hundreds or thousands in a single image
Distinctiveness
- can differentiate a large database of objects
Efficiency
- real time performance achievable
More motivation…

Feature points are used for:
- Image alignment (e.g., mosaics)
- 3D reconstruction
- Motion tracking (e.g. for AR)
- Object recognition
- Image retrieval
- Robot/car navigation
- –… other
Approach
- Feature detection: find it
- Feature descriptor: represent it
- Feature matching: match it
Feature tracking: track it, when motion
Local features: main components

1) Detection: Identify the interest points

2) Descroption: Extract vector feature descriptor surrounding each interest point

3) Matching: Determine correspondence between descriptors in two views
What makes a good feature?
Want uniqueness
Look for image regions that are unusual
– Lead to unambiguous matches in other images
How to define “unusual”?
Local measures of uniqueness
- Suppose we only consider a small window of pixels
– What defines whether a feature is a good or bad candidate?

- How does the window change when you shift it?
- Shifting the window in any direction causes a big change

Harris corner detection: the math
Consider shifting the window $W$ by ($u,v$)
- how do the pixels in $W$ change?
- compare each pixel before and after by summing up the squared differences (SSD)
- this defines an SSD “error” $E(u,v)$

$$E(u,v) = \Sigma_{(x,y) \in W} [I(x+u, y+v) - I(x,y)]^2$$
- We are happy if this error is high
- Slow to compute exactly for each pixel and each offset $(u,v)$
Small motion assumption
Talor series expansion of $l$:
$I(x+u, y+v) = I(x,y) + \frac{\partial I}{\partial x} u + \frac{\partial I}{\partial y} v$ + higher order terms
If the motion $(u,v)$ is small, then first order approximation is good
$$I(x+u, y+v) \approx I(x,y) +\frac{\partial I}{\partial x} u + \frac{\partial I}{\partial y} v$$
$$ \approx I(x,y) + [I_x, I_y] \begin{bmatrix}0 \\ 0 \end{bmatrix} $$
Shorthand: $I_x = \frac{\partial I}{\partial x}$
Plugging this into the formula on the previous slide…
Corner detection: the math
Consider shifting the window $W$ by $(u,v)$
- defines an SSD “error” $E(u,v)$
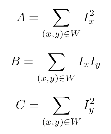
$$E(u,v) = \Sigma [I(x+u, y+v) - I(x,y)]^2$$
$$ \approx \Sigma_{(x,y) \in W} [I(x,y) + I_x u + I_y v - I(x,y)]^2$$
$$\approx \Sigma_{(x,y) \in W} [I_xu + I_yv]^2$$
$$\approx Au^2 + 2Buv + Cv^2$$

Thus, $E(u,v)$ is locally approximated as a quadratic error function.
The second moment matrix
The surface $E(u,v)$ is locally approximated by a quadratic form.
$$E(u,v) \approx Au^2 + 2Buv + Cv^2$$
$$\approx \begin{bmatrix} u & v \end{bmatrix} \begin{bmatrix} A & B \\ B & C \end{bmatrix} \begin{bmatrix} u \\ v \end{bmatrix} $$
$$H = \begin{bmatrix} A & B \\ B & C \end{bmatrix}$$




General case
We can visualize $H$ as an ellipse with axis lengths determined by the eigenvalues of $H$ and orientation
determined by the eigenvectors of $H$
Ellipse equation:
$\approx \begin{bmatrix} u & v \end{bmatrix} H \begin{bmatrix} u \\ v \end{bmatrix} = const$

Quick eigenvalue/eigenvector review
The eigenvectors of a matrix $A$ are the vectors $x$ that satisfy:
$$Ax = \lambda x$$
The scalar $\lambda$ is the eigenvalue corresponding to x
– The eigenvalues are found by solving:
$$det(A-\lambda I) = 0$$
– In our case, $A = H$ is a 2x2 matrix, so we have

– The solution:
$$\lambda_{\pm} = \frac{1}{2} [(h_{11}+h_{22}) \pm \sqrt{4h_{12} h_{21} + (h_{11} - h_{22})^2}]$$
Once you know $\lambda$, you find $x$ by solving
$$\begin{bmatrix} h_{11}-\lambda & h_{12} \\ h_{21} & h_{22}-\lambda \end{bmatrix} \begin{bmatrix} x\\ y \end{bmatrix}$$
Corner detection: the math

$$E(u,v) \approx \begin{bmatrix} u & v \end{bmatrix} \begin{bmatrix} A & B \\ B & C \end{bmatrix} \begin{bmatrix} u \\ v \end{bmatrix}$$
- $Hx_{max} = \lambda_{max}x_{max}$
- $Hx_{min} = \lambda_{min}x_{min}$
Eigenvalues and eigenvectors of $H$
- Define shift directions with the smallest and largest change in error
- $x_{max}$ = direction of largest increase in $E$
- $\lambda_{max}$ = amount of increase in direction $x_{max}$
- $x_{min}$ = direction of smallest increase in $E$
- $\lambda_{min}$ = amount of increase in direction $x_{min}$
How are $\lambda_{max}$, $x_{max}$, $\lambda_{min}$ and $x_{min}$
- What’s our feature scoring function?
Want $E(u,v)$ to be large for small shifts in all directions.
- the minimum of $E(u,v)$ should be large, over all unit vectors $[u v]$
- this minimum is given by the smaller eigenvalue $\lambda_{min}$ of $H$

Interpreting the eigenvalues
Classification of image points using eigenvalues of $M$

Corner detection summary

Here’s what you do:
- Compute the gradient at each point in the image
- For each pixel:
- Create the $H$ matrix from nearby gradient values
- Compute the eigenvalues.
- Find points with large response ($\lambda_{min}$ > threshold)
- Choose those points where $\lambda_{min}$ is a local maximum as features
Find points with large response ($\lambda_{min}$ > threshold)

The Harris operator
$\lambda_{min}$ is a variant of the "Harris operator" for feature detection
$$f = \frac{\lambda_1 \lambda_2}{\lambda_1 \lambda_2}$$
$$=\frac{determinant(H)}{trace(H)}$$
- The trace is the sum of the diagonals, i.e., $trace(H) = h_{11}+ h_{22}$
- Very similar to $\lambda_{min}$ but less expensive (no square root)
- Called the Harris Corner Detector or Harris Operator
- Lots of other detectors, this is one of the most popular
Alternate Harris operator
For Project 2, you will use an alternate definition of the Harris operator:
$$R = \lambda_1 \lambda_2 - k \cdot ( \lambda_1 + \lambda_2)^2 = det(M) - k \cdot tr(M)^2$$
The Harris operator

Harris detector example

f value (red high, blue low)

Threshold (f > value)

Find local maxima of f (non-max suppression)

Harris features (in red)

Weighting the derivatives
In practice, using a simple window $W$ doesn’t work too well

Instead, we’ll weight each derivative value based on its distance from the center pixel

Harris Detector
Second moment matrix

1. Image derivatives

$$\mu(\sigma_I,\sigma_D = g(\sigma_I) \divideontimes \begin{bmatrix} I^2_x(\sigma_D) & I_x I_y(\sigma_D) \\ I_x I_y(\sigma_D) & I^2_y(\sigma_D) \end{bmatrix}$$
2. Square of derivatives

$$detM = \lambda_1 \lambda_2$$
$$trace M = \lambda_1 + \lambda_2$$
3. Gaussian filter $g(s_I)$

4. Cornerness function – both eigenvalues are strong

5. Non-maxima suppression
Harris Corners – Why so complicated?

Can’t we just check for regions with lots of gradients in the $x$ and $y$ directions?
– No! A diagonal line would satisfy that criteria
Reference: Lecture 4: Local features & Harris corner detection
'AI > Computer Vision' 카테고리의 다른 글
| [CS5670] Lecture 5: Feature Invariance (0) | 2022.06.23 |
|---|---|
| Aliasing(엘리어싱) - 발생 이유, 결과, 방지 방법 (2) | 2022.06.01 |
| [CS5670] Lecture 3: Image Resampling & Interpolation (0) | 2022.05.23 |
| [CS5670] Lecture 2: Edge detection (0) | 2022.05.19 |
| [CS5670] Lecture 1: Images and image filtering (0) | 2022.05.19 |
댓글